勞動防護用品的種類繁多,涉及面廣,正確選擇勞動防護用品是保證勞動者的安全與健康的前提。勞動防護用品選擇和使用需要根據國家標準、行業標準以及防護用品的防護性能適用于生產崗位有害因素的存在形式、性質、濃度等來決定,同時還要保證作業人員穿戴要舒適方便,不影響工作。
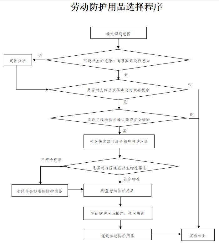
勞動防護用品選擇程序可以參考如下:

確定識別范圍
可能產生的危險、有害因素是否已知->否-> 定性分析
是否對人體造成傷害及其危害程->是
采取工程措施并確認能否完全消除
根據傷害部位選擇相應防護用品
是否符合國家或行業標符合標準->不符合則重新選擇標準的防護用品
購置勞動防護用品
勞動防護用品操作、使用培訓
選擇符合標準的防護用品
不符合標準
佩戴勞動防護用品
實施作業



